Electric Field Intensity Due To Infinite Line Charge Formula

Electric Field Intensity Due To Infinite Line Charge Distribution Youtube

Electric Field Intensity Due To Infinite Line Charge Distribution Youtube

Physics E M Electric Field 6 Of 16 Infinite Line Charge Youtube

Physics E M Electric Field 6 Of 16 Infinite Line Charge Youtube

Electrical Mind Emt 2nd Week Part 3 Electric Field Intensity Of A Infinite Line Of Charges

Electrical Mind Emt 2nd Week Part 3 Electric Field Intensity Of A Infinite Line Of Charges

Electric Field Intensity

Electric Field Intensity

Electric Field Due To A Line Of Charge Physics Stack Exchange

Electric Field Due To A Line Of Charge Physics Stack Exchange

Electric Field Due To An Infinite Line Of Charge Physics Practice Problems Youtube

Electric Field Due To An Infinite Line Of Charge Physics Practice Problems Youtube

Electric Field Due To An Infinite Line Of Charge Physics Practice Problems Youtube

Physics E M Electric Field 7 Of 16 Finite Length Line Charge Youtube

Physics E M Electric Field 7 Of 16 Finite Length Line Charge Youtube

Using Gauss Law Find Out Electric Field Intensity Due To A Line Charge Physics Topperlearning Com 7unfd1cll

Using Gauss Law Find Out Electric Field Intensity Due To A Line Charge Physics Topperlearning Com 7unfd1cll

Electric Field Of An Infinite Sheet Of Charge Physics Stack Exchange

Electric Field Of An Infinite Sheet Of Charge Physics Stack Exchange

Electric Field Due To Infinite Parallel Plate Example Youtube

Electric Field Due To Infinite Parallel Plate Example Youtube

Why Is Electric Field Of An Infinite Plate Constant At All Points Physics Stack Exchange

Why Is Electric Field Of An Infinite Plate Constant At All Points Physics Stack Exchange

Obtain The Formula For The Electric Field Due To A Long Thin Wire Of Uniform Linear Charge Density Lambda Without Using Gauss S Law Hint Use Coulombs Law Directly And Evaluate The Necessary

Obtain The Formula For The Electric Field Due To A Long Thin Wire Of Uniform Linear Charge Density Lambda Without Using Gauss S Law Hint Use Coulombs Law Directly And Evaluate The Necessary

Derivation For Electric Field Intensity Due To Thin Uniformly Charged Infinite Plane Sheet Brainly In

Derivation For Electric Field Intensity Due To Thin Uniformly Charged Infinite Plane Sheet Brainly In

Electric Field Near An Infinite Plane Of Uniform Charge Density

Electric Field Near An Infinite Plane Of Uniform Charge Density

Electric Intensity Due To A Sheet Of Chage

Electric Intensity Due To A Sheet Of Chage

Usingh Gauss Theorem Derive An Expression For The Electric Field Intensity At A Point Near A Thin Brainly In

Usingh Gauss Theorem Derive An Expression For The Electric Field Intensity At A Point Near A Thin Brainly In

Use Gauss S Theorem To Find The Electric Field Due To A Uniformly Charged Infinitely Large Plane Thin Sheet With Surface Charge Density S Sarthaks Econnect Largest Online Education Community

Use Gauss S Theorem To Find The Electric Field Due To A Uniformly Charged Infinitely Large Plane Thin Sheet With Surface Charge Density S Sarthaks Econnect Largest Online Education Community

Why Electric Field Due To A Infinite Charged Plane Sheet Is Half The Electric Field At Surface Of Charged Conductor Quora

Why Electric Field Due To A Infinite Charged Plane Sheet Is Half The Electric Field At Surface Of Charged Conductor Quora

Electric Field Due To A Charged Disk Infinite Sheet Of Charge Parallel Plates Physics Problems Youtube

Electric Field Due To A Charged Disk Infinite Sheet Of Charge Parallel Plates Physics Problems Youtube

Physics E M Electric Field 11 Of 16 An Arc Of Charge Youtube

Physics E M Electric Field 11 Of 16 An Arc Of Charge Youtube

Class 12 Physics 30 Electric Field Strength Due To A Uniformly Charged Rod At A General Point Youtube

Class 12 Physics 30 Electric Field Strength Due To A Uniformly Charged Rod At A General Point Youtube

5 6 Calculating Electric Fields Of Charge Distributions Physics Libretexts

5 6 Calculating Electric Fields Of Charge Distributions Physics Libretexts

What Is The Electric Field For An Infinitely Long Wire With A Uniform Line Charge Density Lambda Along Z Axis At A Point A B 0 Away From Origin Quora

What Is The Electric Field For An Infinitely Long Wire With A Uniform Line Charge Density Lambda Along Z Axis At A Point A B 0 Away From Origin Quora

Electric Field Intensity Due To Line Charge Youtube

Electric Field Intensity Due To Line Charge Youtube

Https Encrypted Tbn0 Gstatic Com Images Q Tbn 3aand9gcsae7a5 P1tk2o0lzkxdbtvfxkosbwymlotn6wsbnf 70 Xxg6v Usqp Cau

Https Encrypted Tbn0 Gstatic Com Images Q Tbn 3aand9gcsae7a5 P1tk2o0lzkxdbtvfxkosbwymlotn6wsbnf 70 Xxg6v Usqp Cau

50 Physics Electrostatics Electric Field Due To A Thick Uniformly Charged Large Sheet Ga Youtube

50 Physics Electrostatics Electric Field Due To A Thick Uniformly Charged Large Sheet Ga Youtube

Class 12 Physics Electrostatics 31 Electric Field Due To A Uniformly Charged Semi Infinite Wire Youtube

Class 12 Physics Electrostatics 31 Electric Field Due To A Uniformly Charged Semi Infinite Wire Youtube

What Is The Derivation Of Electric Field Intensity Due To Finite Sheet Charges Quora

What Is The Derivation Of Electric Field Intensity Due To Finite Sheet Charges Quora

Magnetic Field Intensity From An Infinite Sheet Of Current Youtube

Magnetic Field Intensity From An Infinite Sheet Of Current Youtube

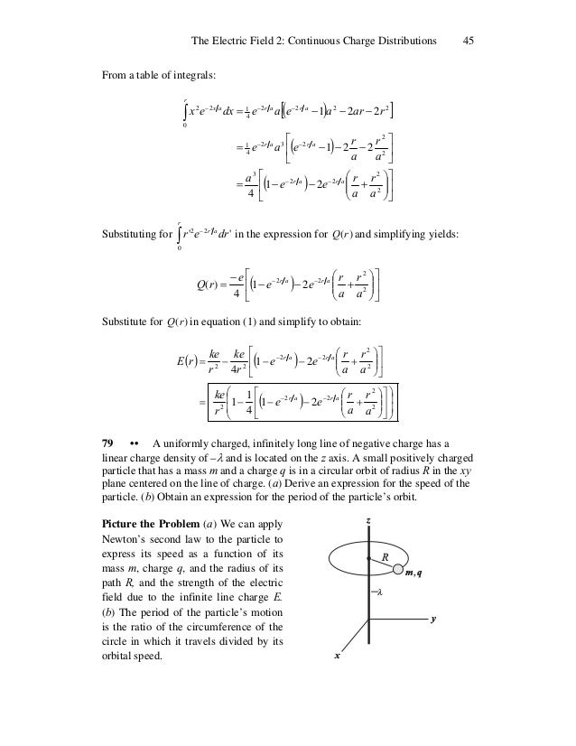
Ch22 Ssm

Ch22 Ssm

Source : pinterest.com